Globo Online

Centro de estudos









07 de março de 2026 Versão on line
Banco de Questões
Estude para o Enem, para o Vestibular e para os testes de acesso direto ao ensino superior com o auxílio de 600 questões antigas do projeto Simulados Megazine. As perguntas têm gabarito comentado automático, e você pode selecioná-las por disciplina ou através de localização por palavra-chave.

Pesquisa por: F�sica
Questões encontradas:

• Páginas:
1 2  3  4  5  6  7 

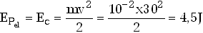
Utilizando-se de um estilingue, um jovem lança uma bolinha de 10 gramas, verticalmente para cima. Ela retorna ao ponto de lançamento após 6 segundos. A energia potencial elástica, armazenada no estilingue, para se efetuar este lançamento foi de:


4,5J

60J

6J

100J

1J


Para erguer uma peça de 160kg, um mecânico utiliza um sistema de roldanas que possibilita uma vantagem mecânica de 8 vezes. Desprezando-se todos os atritos e a massa das roldanas, o trabalho realizado pelo mecânico, quando ele puxa 4m da corda é:


6400J

12800J

1600J

320J

800J



Um béquer contendo um volume V0 = 500cm3 de água é colocado em uma balança que passa a registrar um valor F0 = 8N. Em seguida, um corpo de massa m = 400g é imerso na água sem tocar o fundo do béquer, conforme ilustra a figura. Observa-se que o nível da água sobe até V = 550cm3 e que a balança passa a registrar um outro valor F. :

Pode-se afirmar que


F = 12N.

F = 8,5N.

F = 0,5N.

F = 7,5N.

F = 4,5N.



O som, assim como a luz, ajuda os humanos e os animais a perceberem o ambiente circundante. Com relação ao som, podemos dizer:


A velocidade de propagação do som no vácuo é maior que no ar.

No ar, a velocidade de propagação do som varia com a temperatura.

O som não sofre refração.

A água transmite melhor o som que o bronze.

O som produz um fenômeno chamado eco. O eco é devido à ressonância do som.


Duas pessoas carregam um botijão de gás de massa 34kg, conforme a figura a seguir. O ângulo de abertura dos braços das duas pessoas é de 30o.

Considerando g = 10m/s2, a força que cada uma faz para manter o botijão parado é de, aproximadamente:
340N

170N

120N

100N

200N



Ajuda | Política de privacidade | Termos de uso | Fale com O Globo Online
© 1996 - 2006. Todos os direitos reservados a Infoglobo S/A.